Mathematical modelling to assess the impact of vaccine delivery on measles transmission dynamics in Ondo state, Nigeria
Ojo Femi Ogunboyo, Charles Obi, Ganiyat Eshikhena, Dupsy Akoma, Nwadiuto Ojielo, Gbenga Adegbite, Ezra Gayawan, Gboyega Famokun, Oladipo Ogunbode, Jide Idris, Iyanu Adufe, Chijioke Kaduru
Corresponding author: Ojo Femi Ogunboyo, Epidemiology and Biostatistics Department, University of Medical Sciences, Ondo State, Nigeria 
Received: 01 Aug 2025 - Accepted: 25 Jan 2026 - Published: 11 Mar 2026
Domain: Biostatistics,Infectious diseases epidemiology,Health Research
Keywords: Measles, vaccine, mathematical model, infection, disease transmission, Ondo State, Nigeria
Funding: This research was funded by the Bill & Melinda Gates Foundation, Nigeria [Grant number INV-048039]. The funding body had no role in this manuscript's intellectual content and writing.
©Ojo Femi Ogunboyo et al. PAMJ-One Health (ISSN: 2707-2800). This is an Open Access article distributed under the terms of the Creative Commons Attribution International 4.0 License (https://creativecommons.org/licenses/by/4.0/), which permits unrestricted use, distribution, and reproduction in any medium, provided the original work is properly cited.
Cite this article: Ojo Femi Ogunboyo et al. Mathematical modelling to assess the impact of vaccine delivery on measles transmission dynamics in Ondo state, Nigeria. PAMJ-One Health. 2026;19:11. [doi: 10.11604/pamj-oh.2026.19.11.48837]
Available online at: https://www.one-health.panafrican-med-journal.com/content/article/19/11/full
Research 
Mathematical modelling to assess the impact of vaccine delivery on measles transmission dynamics in Ondo state, Nigeria
Mathematical modelling to assess the impact of vaccine delivery on measles transmission dynamics in Ondo state, Nigeria
Ojo Femi Ogunboyo1,&, Charles Obi2, Ganiyat Eshikhena2, Dupsy Akoma2, Nwadiuto Ojielo2, Gbenga Adegbite2, Ezra Gayawan3, Gboyega Famokun4,
Oladipo Ogunbode5, Jide Idris6, Iyanu Adufe7,
Chijioke Kaduru8
&Corresponding author
Introduction: measles, a highly contagious disease, poses significant risks, particularly to unvaccinated children and pregnant women. Vaccination remains the most effective control measure. In Nigeria, outbreaks are more prevalent in areas with low vaccination coverage, including Ondo State, which recently experienced an outbreak. This study employs a deterministic model to evaluate the impact of vaccination and other factors influencing measles transmission in the region.
Methods: a mathematical model susceptible, vaccinated, infected and recovered (SVIR) was set up and analyzed. Using parameters within the study population, R-studio (Version 4.4.1) was used to simulate data and run optimization using a deSolve library to find a solution to a set of four ordinary differential equations (ODE). A Sympy library in Python package was used for differentiation and parameter evaluation.
Results: we found that measles outbreaks are likely to occur when effective immunization is very low. Essentially, if the vaccine efficiency is less than 75%, it may trigger an outbreak (R0 > 1) while an increase in the vaccinated population results in a corresponding decrease in the susceptible population. Overall, vaccine efficiency, vaccination rate, and disease transmission rate are key to the control of the disease.
Conclusion: we set up an SVIR model. Using a scenario analysis, we found that Measles disease outbreaks are eminent in communities with zero percent dose vaccination. Vaccine efficiency is also key to eliminating the disease.
Measles is a highly contagious disease of public health importance. It is a viral disease, and humans are the only natural host. Unvaccinated children and pregnant women are at the highest risk of measles infection and complications [1]. The clinical symptoms include fever, maculopapular rash, and any of cough, conjunctivitis, and coryza. However, an infected person may be asymptomatic, symptomatic, or may develop organ system complications [2]. While the incubation period ranges from 10 to 14 days, the infected person may recover within three weeks if there are no complications [3]. All six World Health Organization (WHO) regions have attempted to eliminate measles, but the goal is yet to be achieved [4].
Among the most vulnerable populations, the WHO recommended administering two doses of the measles vaccination. Based on WHO guidelines, the main intervention for controlling the spread of measles is routine vaccination and treatment. Nigeria's measles elimination strategy focuses on improving measles-containing-vaccine first-dose (MCV1) vaccination at 9 months, supplemental immunization for children 9-59 months, and enhancing case-based surveillance [5]. In addition, Nigeria developed preparedness and response guidelines, including guides for effective management of measles cases and outbreaks. These are in line with the recommendations of the WHO Africa region for African countries that are signatories to the measles elimination agenda [6]. A pooled vaccine effectiveness in Africa is 68.58% (95% CI: 59.99-77.16) [7]. However, immunization activities witnessed setbacks during the COVID-19 pandemic, and this triggered a downward trajectory due to the interruption of the interventional mechanisms [8].
In 2018, out of the 56,146 suspected cases of measles recorded in the African region, 24,847 were confirmed. As of 2018, Nigeria reported 6,593 confirmed cases of measles, corresponding to a 12-month rolling incidence rate of approximately 36.3 cases per million people [9]. A more recent report shows that 64.9 per million children in Nigeria get infected with Measles, which is far above the less than one per million targeted by the WHO [10]. In Nigeria, with a population of more than 220 million people, measles is the seventh most common cause of death for children under five [11]. Its transmission is year-round, and the outbreaks usually rise during the dry season. The prevalence of the disease is higher in northern Nigeria, where vaccination coverage is lower compared with other regions [6], but the case fatality is higher in the south [12]. The cases are more prevalent among unvaccinated children aged 9-59 months [6]. From January 2024 to April 2024, under-five children accounted for 37.5% in Ondo state and about 65% of all confirmed measles cases in Nigeria [10].
Mathematical models serve different purposes in disease modelling. In the last few decades, it has become an essential tool especially for understanding disease transmission dynamics [13], disease control and policy making [14], evaluation of intervention strategies [15], and lots more. Over time, various models like SIR, SVIR, and SVEIR have been developed to monitor and predict the spread of communicable diseases, including measles [16]. Various compartments were explored for measles transmission modelling. For instance, hospitalization and vaccination compartments were incorporated into the SVIR model by Peter et al. [17]. Using Nigerian measles data, their findings highlighted the importance of reducing contact with infected individuals and increasing vaccination rates with high-efficiency vaccines for lowering measles prevalence. Similarly, Arsal SR et al. [18] extended an SEIR model by incorporating two-dose vaccination delivery, which offered lifelong immunity for individuals receiving both doses. His analysis showed that the disease-free equilibrium is locally stable when R0 <1, emphasizing the importance of effective vaccination in controlling measles.
Nwankwo et al. [19] also developed a mathematical model incorporating a two-dose vaccination strategy and vaccine-derived immunity weaning. Their model, verified with data from Nigeria's weekly measles cases in 2020, suggested that significantly increasing vaccination rates could control the disease. They found that primary vaccine failure could significantly impact disease dynamics, necessitating control measures that address this issue alongside improving vaccination rates. Tilahunet al. [20] and Memon et al. [3] explored measles transmission through deterministic and stochastic models. Both studies underscored the importance of vaccination for achieving a disease-free equilibrium. Memon et al. [3], also emphasized the need for improved vaccine efficiency and coverage to reduce outbreaks significantly. A similar study in Bangladesh confirmed that the transmission rate has a substantial impact on measles prevalence, reinforcing the critical role of vaccination in disease control [15].
Despite the significant input made by various researchers, who previously modelled communicable disease transmission dynamics [21-25], there is still a need for more investigation into the conceptualization of measles model formation. For instance, some studies often assume complete vaccination guarantees 100% prevention [15]. Therefore, the current study focuses on the effect of measles vaccine coverage and efficiency on the disease transmission dynamics among children under five years old in Ondo State.
Setting: Ondo State is one of the 6 states in the southwestern part of Nigeria. The state has an estimated population of 4,969,707 across 18 local governments. The study population comprises children under five years old, which constitutes about 16-18% of the estimated population [26].
Model description and formulation: a susceptible, vaccinated, infected, and recovered (SVIR) model was proposed with four mutually exclusive classes, which are described with deterministic ordinary differential equations. The total population is denoted by N. It is the sum of all the populations in the four compartments at any given time. The susceptible (S) represents the individuals who are not immune to the disease and are not infected with the disease. The vaccinated (V) compartment represents children aged 9-59 months in the population, who have already received a dose of vaccination that has an efficiency of θ. The infected (I) group is individuals who are infected with the measles disease and capable of infecting others. Recovered (R) denotes those who were infected and later recovered from the disease.
Moreover, the susceptible compartment is open and can only increase by birth at a rate of λ and also decrease at a rate of β due to progression into the infected compartment and via vaccination at σ rate, as well as natural death at a rate of μ. The infected class is populated through the progression of infected unvaccinated susceptible individuals (β) and inefficiently vaccinated (1-θ) children. The infected compartment decreases at a recovery rate of γ and by both natural (μ) and disease-related (δ) mortality. The vaccinated V group is generated by the susceptible individuals who received measles vaccination at a rate of σ, but its size reduces due to natural death and waning of the vaccine at a rate of (1-θ). The recovered R class increases by a γ rate via natural immunity after infection. However, individuals do not revert to the susceptible compartment after recovery due to life immunity in measles.
The summary of the transmission dynamics is presented in Figure 1, while the description of the model parameters and the state variables is presented in Table 1. Some of the parameters used in this study were estimated, while others were retrieved from the literature. For instance, transmission rate from susceptible to infected [17], measles-induced death rate [24], recovery rate [13], vaccination rate [27], vaccine efficiency [28].
Model assumptions: the following assumptions are made concerning the proposed model: i) the population under study is assumed to be open to recruitment into the susceptible population via birth only; ii) every susceptible child has an equal chance of coming into contact with an infected child; iii) susceptible individuals become infectious after contact with an infectious person; iv) the transmission rate (β) is constant and represents the probability of disease transmission upon contact; v) the vaccine is not 100% effective. It has a known efficiency rate, meaning a fraction of vaccinated children may still become infected after a complete dose.
Model system of ordinary differential equations: based on the assumptions presented, the following ordinary differential equations (ODEs) are formulated using the mass action principle:




S(0) ≥ 0, V(0) ≥ 0, I(0) ≥ 0, R ≥ 0.
It can easily be shown that the solution to the system of equations in (1)-(4) exists subject to the initial conditions and is non-negative for all t ≥ 0.
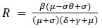
Disease-free equilibrium state (DFE) and the derivation of basic reproduction number: the basic reproduction number is one of the most important estimates in infectious disease modelling because it provides insight into suitable control measures. It is usually denoted by R0, which indicates the average number of secondary infections resulting from an index case. Specifically, if R0 < 1, the disease transmission will die out; otherwise, it will continue to invade the population, i.e., it remains in an endemic state. At the disease-free equilibrium (DFE) state, I = R = 0, and since:

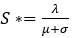
That is, at the disease-free equilibrium (S*, V*, I*, R*), we have λ - (μ+σ)S = 0, which implies:



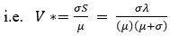
And, R* =I* = 0 And R*= I*= 0; therefore, the DFE (S*,V*, V*, I*, R*) becomes:

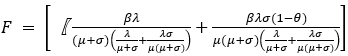
Therefore, for the transfer class (ƒ), we have:

And the disease class (v),

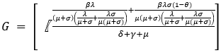
Using the next-generation matrix approach in Python, the Jacobian matrices for the transfer class (F) and disease class (v), after substituting for the S and V become:


The next generation matrix for reproduction number is G = FV-1.

The basic reproduction number R0 is the largest eigenvalue of G. Therefore,

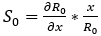
Sensitivity analysis: in this section, sensitivity analysis of the basic reproduction number is carried out to evaluate the influence of each model parameter on the transmission of the disease. The sensitivity index is given as:

Where x is the parameter being considered.
Data analysis: the R-studio (Version 4.4.1) was used to simulate the data using the deSolve library in R, as a solver for the system of four ordinary differential equations (ODE). Visualization parameter sensitivity was also performed in R. Estimation of sensitivity analysis indices was also derived using the Sympy function in Python.
In the current study, we developed a deterministic model under the influence of vaccination. Figure 2 shows the plots of the simulations for the model variables. The graph represents the dynamics of a measles outbreak under an SVIR (Susceptible-Vaccinated-Infected-Recovered) compartmental model. The SVIR model extends the classic SIR framework by adding a "vaccinated" compartment to account for individuals who have received the vaccine and are immune to further infection. It can be seen that an increase in the vaccinated population results in a corresponding decrease in the susceptible population. Initially, the entire population is susceptible to measles (close to 500,000 individuals). Over time, as individuals are vaccinated, the susceptible population declines rapidly and approaches zero. The vaccinated population grows sharply from zero and stabilizes at a high level (nearly 500,000). This indicates a successful vaccination campaign that immunizes most of the population. However, the transmission patterns for the infected and recovery populations are subdued in the Figure 2, obviously due to their relatively small proportions in comparison with the other sub-populations. Figure 3 displays the simulated cases for a period of 100 months of projection. Keeping other variables constant, the transmission rises exponentially for about 25 months before it begins to attenuate between 25-50 months and then decline. As expected, Figure 4 shows that the infected and the cumulative recovery have similar patterns (3.1).
Basic reproduction number and sensitivity analysis: to evaluate the effective reproduction number, the values in Table 1 can be substituted into equation (13). If R0 < 1, then it implies that the disease will die out. Alternatively, if R0 > 1, then the measles transmission is endemic. However, as shown in Table 2, it is noted that the sensitivity index for the transmission rate β is positive (+1.0). Conversely, the indices for all other parameters are negative. This indicates that the transmission rate solely increases the effective reproduction number of the disease. We can deduce that the transmission rate β has a direct and proportional impact on R0. Whereas the remaining parameters serve as protective indicators against the reproduction number. Especially, the vaccine efficiency is the most influential factor with a sensitivity index of -11.02, followed by the recovery rate (γ) of -0.96. Also, increasing the vaccination coverage/rate potentially reduces the production number. This indicates there would be a decrease in the secondary infection if the vaccine coverage and/or efficiency improve.
To further evaluate the impact of vaccination rate, Figure 5 reveals the expected incidence for (10% to 90%) vaccination rates. The red curve represents a low vaccination rate, showing the highest peak incidence of measles. This implies widespread transmission due to insufficient population immunity. As vaccination rates increase (yellow, green, cyan, blue), the peak incidence decreases significantly, and the disease dies out more quickly, while the purple curve corresponds to the highest vaccination rate, where measles incidence remains close to zero, indicating herd immunity. Figure 6 also displays the infection patterns if the vaccine efficiency (θ) increases from 50% through 100%. Similar to the vaccination rate, the predicted incidence is almost zero when 100% efficiency is assumed. The peak is observed around the 50th month. A poorly effective (50%) vaccine results in a high peak of measles cases with a substantial outbreak due to insufficient immunity in the population. The effects of various levels of vaccination and efficiency on the patterns of predicted cases are displayed in Figure 5 and Figure 6, respectively.
Comparisons of different scenarios: Table 3 shows combinations of different levels of vaccination rates (25%, 50%, 75%) with three assumed levels (75%, 85%, 95%) of vaccine efficiency. At a baseline, where there is no intervention, the basic reproduction number is 4.67, which indicates an endemicity of measles transmission in the population. Furthermore, 3 conditions are hypothetically created, and the levels of the interventions are compared. The R0 >0 at the three lowest levels of interactions of vaccination and efficiency. i.e. {(0.25,0.75), (0.5,0.75), (0.75,0.75)}. By raising the efficiency to at least 85%, the effective reproductive number becomes less than one.
Nigeria has a burden of measles outbreaks and Ondo State is also affected. We set up an SVIR deterministic model to study the disease dynamics. Our findings show that a measles outbreak is possible in the population when there is little or no vaccination, which corroborates another finding of a study conducted in Nigeria, with national coverage [27]. Moreover, a disease-free equilibrium was established at about 50% vaccination rate and 93% vaccine efficiency, where the basic reproduction number is less than unity. This implies the spread will die out within the population if intervention is optimized by increasing the coverage as well as maintaining high vaccine efficiency. This is similar to what had been posited by other authors, which include Obumneke et al. [28], where both simulated and real data were used for measles transmission dynamics. Considering the effect of the intervention, an effective reproduction number less than 1, observed at a higher level of vaccination rate and efficiency, is an indication that the disease can be eliminated if proper interventions, such as massive routine immunization and awareness, are put in place.
As demonstrated through the sensitivity analysis, effective contact and transmission probability are key to disease control. A sensitivity index
shows that if effective contact is reduced by 50%, the reproduction number will equally reduce by 50%. This finding conformed with another finding by Kuddus et al. [15], in a model generated for Bangladesh measles data. Reduction of transmission rate can be achieved by introducing isolation/quarantine when there is an index case, to create a transmission barrier. Improved hygiene and nutrition can also curb disease transmission. Not only this, but improved recovery rate, increase in vaccine coverage, and vaccine efficiency have been shown to play a significant protective role against the basic reproduction number. A negative sensitivity index for three major parameters implies their increase would reduce the secondary transmission of measles by corresponding proportions. For instance, if the vaccine effectiveness is reduced below 75%, then R0 > 1, i.e., the disease tends to progress to an outbreak.
In the context of our model (SVIR), the sensitivity index of -11.0 for vaccine efficiency (θ) means a little improvement in the vaccine efficiency will result in a significant change in the transmission rate, and vice versa. This is similar to what was reported by Wanjau et al. [16]. Specifically, a slight decrease in the vaccine efficiency may trigger an outbreak, because a reduction will increase the number of susceptible individuals. In addition, a sensitivity index of about -0.46 for vaccine coverage means a lower but very important protective effect against the spread of measles. However, vaccine coverage and efficiency are mutually inclusive. Irrespective of the coverage, if the efficiency is weak, the disease can still spread among the vaccinated persons. Also, the recovery rate sensitivity index is -0.96, suggesting it has a moderate inverse effect on the model outcome. This reveals that as more people recover quickly, the spread of measles persists. A higher recovery rate shortens the infectious period; therefore, the opportunity for transmission reduces.
Limitations of the study: our study relied mainly on the estimated data and the data from the literature, which may not translate to the exact projection.
Nigeria continues to face a significant burden of measles outbreaks, including in Ondo State. Using an SVIR deterministic model, this study reveals that measles outbreaks are likely in populations with low vaccination coverage. Based on our findings, an infectious person is capable of infecting about five susceptible individuals if there is little or no vaccination. Hence, it will lead to an outbreak in the long run, if intervention is not stepped up. Findings indicate that a disease-free equilibrium can be achieved with at least 50% vaccination coverage and 93% vaccine efficiency, where the basic reproduction number (R0) becomes less than 1, halting disease spread. Higher vaccination rates and efficiency are critical for eliminating measles, aligning with prior studies on measles dynamics in Nigeria and globally. The sensitivity analysis highlights key factors for disease control. A higher transmission rate also correlates with a higher reproduction number. A sensitivity index of 1.0 for transmission rate indicates that reducing effective contact by 50% will proportionally reduce R0, achievable through isolation, improved hygiene, and nutrition. Vaccine efficiency and coverage play vital roles, with a sensitivity index of -11.0 for efficiency, showing that small reductions can significantly increase transmission. Similarly, a sensitivity index of -0.46 for coverage underscores its protective role. The recovery rate also affects transmission, with a sensitivity index of -0.96, as faster recovery reduces infectious periods. Therefore, the results of our study suggest the closure of the gaps in immunization coverage such as insufficient healthcare in some areas, inconsistency in the vaccination program, vaccine storage and lots more. Also, incorporating the vaccine component into the SIR model reemphasizes a proper understanding of the disease dynamics, as demonstrated in this study. Thus, elimination of the disease is achievable if the effectiveness of the vaccine is prioritized and the coverage is stepped up. Overall, maintaining high vaccine efficiency and coverage, along with interventions like routine immunization, public awareness, and transmission reduction strategies, is essential for measles control and elimination.
What is known about this topic
- Measles vaccines prevent transmission of the disease among children, thereby reducing the outbreak of the disease where there is high vaccine coverage in Nigeria;
- At the national level, the impact of vaccination and other interventions had been investigated using a mathematical modeling approach.
What this study adds
- This study reveals that in an uncontrolled population, an index case of the disease is capable of infecting about five susceptible individuals;
- This study focuses on intervention and transmission of measles dynamics in Ondo State, as the incidences of the disease outbreaks vary across Nigerian states; however, the vaccination coverage is moderate but needs to be sustained to prevent further degradation.
All the authors declare no competing interests.
Ojo Femi Ogunboyo prepared and wrote the initial draft, developed the algorithm for the model, and applied and computed the mathematical model. Charles Obi and Gbenga Adegbite supported the analysis and the algorithm development. Ganiyat Eshikhena coordinated the research activity planning and execution. Dupsy Akoma, Nwadiuto Ojielo, Ezra Gayawan, Oladipo Ogunbode, Jide Idris, and Iyanu Adufe critically reviewed and edited the manuscript. Chijioke Kaduru provided leadership of project design, supervision of project delivery, and supervisory authorship of our manuscript. All authors have read and approved the final version of this manuscript.
We acknowledge the Nigeria Centre for Disease Control and Prevention for providing measles situation reports. Additionally, we appreciate the Nigerian Malaria Modelling Fellowship for providing the platform that facilitated this research.
Table 1: description of model parameters
Table 2: sensitivity indices for different parameters
Table 3: scenario analysis
Figure 1: model schematic flowchart of the SVIR compartmental model
Figure 2: simulation plot of the SVIR model of measles transmission
Figure 3: prevalence of infected individuals
Figure 4: infected population versus cumulative recovery
Figure 5: effect of vaccination rate on the transmission
Figure 6: effect of vaccination on the efficiency of transmission
- European Centre for Disease Prevention and Control. Disease information on measles. 2023. Accessed on August 1, 2025.
- Center for Disease Control. Measle Symptoms and Complications. May 2024. Accessed on August 1, 2025.
- Memon Z, Qureshi S, Memon BR. Mathematical analysis for a new nonlinear measles epidemiological system using real incidence data from Pakistan. Eur Phys J Plus . 2020;135(4):378. PubMed | Google Scholar
- Minta AA, Ferrari M, Antoni S, Lambert B, Sayi TS, Hsu CH et al. Progress toward measles elimination - Worldwide, 2000–2023. Morbidity and Mortality Weekly Report. 2024;73(45):1036-1042 PubMed | Google Scholar
- Baptiste AE, Masresha B, Wagai J, Luce R, Oteri J, Dieng B et al. Trends in measles incidence and measles vaccination coverage in Nigeria, 2008-2018. Vaccine. 2021 Nov 17:39 Suppl 3:C89-C95. PubMed | Google Scholar
- World Health Organization. African Regional guidelines for measles and rubella surveillance. WHO. April 2015. Google Scholar
- Endalamaw D, Nibret E, Munshea A, Mekonnen F, Tadesse S, Zeru T et al. Measles vaccine effectiveness in African children: a systematic review and meta-analysis. BMC Infect Dis. 2024 Nov 21;24(1):1330. PubMed | Google Scholar
- Minta AA, Ferrari M, Antoni S, Portnoy A, Sbarra A, Lambert B et al. Progress Toward Measles Elimination - Worldwide, 2000-2022. MMWR Morb Mortal Wkly Rep. 2023 Nov 17;72(46):1262-1268. PubMed | Google Scholar
- World Health Organization. Measles reported cases and incidence. Accessed on August 1, 2025.
- Nigeria Centre for Disease Control and Prevention. Measles Situation Report, May 2024. NCDC. 2024. Accessed on August 1, 2025.
- World Health Organization. Measles Fact Sheet. WHO, 2024. Accessed on August 1, 2025.
- Ibrahim BS, Usman R, Mohammed Y, Datti Z, Okunromade O, Abubakar O et al. Burden of measles in Nigeria: a five-year review of case based surveillance data, 2012-2016. Pan Afr Med J. 2019 Jan 22;32(Suppl 1):5. PubMed | Google Scholar
- Ghostine R, Gharamti M, Hassrouny S, Hoteit I. An extended seir model with vaccination for forecasting the COVID-19 pandemic in Saudi Arabia using an ensemble kalman filter. Mathematics. 2021;9(6):636. Google Scholar
- Panovska-Griffiths J, Kerr CC, Waites W, Stuart RM. Mathematical modeling as a tool for policy decision making: Applications to the COVID-19 pandemic. Handbook of Statistics. 2021;44:291-326. Google Scholar
- Kuddus MA, Mohiuddin M, Rahman A. Mathematical analysis of a measles transmission dynamics model in Bangladesh with double dose vaccination. Sci Rep. 2021 Aug 16;11(1):16571. PubMed | Google Scholar
- Wanjau MJ, Titus R, Isaac C. Mathematical Modeling of the Transmission Dynamics of Measles under the Effect of Vaccination. IOSR Journal of Mathematics. 2019;15:10-19. Google Scholar
- James Peter O, Ojo MM, Viriyapong R, Abiodun Oguntolu F. Mathematical model of measles transmission dynamics using real data from Nigeria. Journal of Difference Equations and Applications. 2022;28(6):753-770. Google Scholar
- Arsal SR, Aldila D, Handari BD. Short review of mathematical model of measles. AIP Conference Proceedings. 2020;2264(1):020003. Google Scholar
- Nwankwo A, Iboi E, Okuonghae D. Impact of vaccine failure on the transmission dynamics of measles in Nigeria. medRxiv. 2021 Mar 1:2021-02. Google Scholar
- Tilahun GT, Demie S, Eyob A. Stochastic model of measles transmission dynamics with double dose vaccination. Infectious Disease Modelling. 2020;5:478-494. PubMed | Google Scholar
- Alemneh HT, Belay AM. Modelling, analysis, and simulation of measles disease transmission dynamics. Discrete dynamics in Nature and Society. 2023;2023(1):9353540. Google Scholar
- Fu H, Abbas K, Klepac P, Zandvoort K, Tanvir H, Portnoy A et al. Effect of evidence updates on key determinants of measles vaccination impact: a DynaMICE modelling study in ten high-burden countries. BMC Med. 2021 Nov 17;19(1):281. PubMed | Google Scholar
- Momoh AA, Ibrahim MO, Uwanta IJ, Manga SB. Mathematical model for control of measles epidemiology. International Journal of Pure and Applied Mathematics. 2013;87(5);707-718. Google Scholar
- Bakare EA, Adekunle YA, Kadiri KO. Modelling and simulation of the dynamics of the transmission of measles. International Jounal of Computer Trends and Technology. 2012;3:174-8. Google Scholar
- Edward SA. Mathematical Model for Control and Elimination of the Transmission Dynamics of Measles. Applied and Computational Mathematics. 2015;4(6):396-408. Google Scholar
- UNICEF. Nigeria Country Profile. UNICEF Data Portal. 2024. Accessed on August 1, 2025.
- Peter OJ, Panigoro HS, Ibrahim MA, Otunuga OM, Ayoola TA, Oladapo AO. Analysis and dynamics of measles with control strategies: a mathematical modeling approach. International Journal of Dynamics and Control. 2023;11(5):2538-2552. PubMed | Google Scholar
- Obumneke C, Adamu II, Ado ST. Mathematical Model for the Dynamics of Measles under the Combined Effect of Vaccination and Measles Therapy. 2017 Jun;6(6):862-74. Google Scholar








